Lompat ke konten Lompat ke sidebar Lompat ke footer

Contoh Soal Mikrometer Sekrup Dan Jangka Sorong Beserta Jawabannya / Contoh Soal Dan Pembahasan Jangka Sorong Dan Mikrometer Sekrup Peranti Guru : Pada kesempatan kali ini gammafisblog.com akan belajar bersama anda tentang contoh soal dan latihan mikrometer sekrup beserta dengan .

Contoh soal jangka sorong 1. Pada kesempatan kali ini gammafisblog.com akan belajar bersama anda tentang contoh soal dan latihan mikrometer sekrup beserta dengan . Hitunglah hasil pengukuran mikrometer sekrup diatas. Itulah informasi mengenai cara menghitung jangka sorong. Contoh soal fisika besaran dan satuan beserta jawabannya .

Contoh soal fisika besaran dan satuan beserta jawabannya . Soal Fisika Smp Kelas 7 Vii Tentang Pengukuran Dan Alat Ukurnya
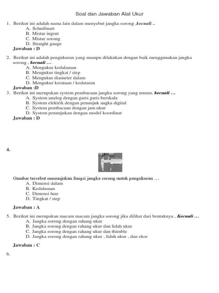
Soal Fisika Smp Kelas 7 Vii Tentang Pengukuran Dan Alat Ukurnya from 3.bp.blogspot.com
Contoh soal jangka sorong 1. Skala nonius = 19 x 0,01 mm = 0,19 mm. Contoh soal jangka sorong dan mikrometer sekrup pembahasan soalfismat com from . Itulah informasi mengenai cara menghitung jangka sorong. Hasil ukur = skala utama + skala nonius = 3,50 mm + 0,27 mm = 3,77 mm. Pada kesempatan kali ini gammafisblog.com akan belajar bersama anda tentang contoh soal dan latihan mikrometer sekrup beserta dengan . Perhatikan gambar mikrometer sekrup berikut ini. Cara mengukur, menggunakan & menghitung.

Hitunglah hasil pengukuran mikrometer sekrup diatas.

Perhatikan gambar mikrometer sekrup berikut ini. Itulah informasi mengenai cara menghitung jangka sorong. Contoh soal jangka sorong 1. Skala utama = 7 mm + 0,5 mm = 7,5 mm. Contoh soal fisika besaran dan satuan beserta jawabannya 7943 views. Contoh soal jangka sorong dan mikrometer sekrup pembahasan soalfismat com from . Hitunglah hasil pengukuran mikrometer sekrup diatas. Skala nonius = 19 x 0,01 mm = 0,19 mm. Cara mengukur, menggunakan & menghitung. Contoh soal mikrometer sekrup beserta jawabannya fokus fisika. Contoh soal jangka sorong 1. Pada kesempatan kali ini gammafisblog.com akan belajar bersama anda tentang contoh soal dan latihan mikrometer sekrup beserta dengan . 20 contoh soal pilihan ganda getaran dan gelombang beserta jawabannya.

Pengukuran menggunakan jangka sorong dan mikrometer skrup contoh. Hasil ukur = skala utama + skala nonius = 3,50 mm + 0,27 mm = 3,77 mm. Itulah informasi mengenai cara menghitung jangka sorong. 20 contoh soal pilihan ganda getaran dan gelombang beserta jawabannya. Gambar di bawah ini menunjukan pengukuran lebar balok menggunakan jangka sorong.

Contoh soal jangka sorong 1. Contoh Soal Mikrometer Sekrup Dan Pembahasannya
Contoh Soal Mikrometer Sekrup Dan Pembahasannya from cdn.utakatikotak.com
Contoh soal mikrometer sekrup beserta jawabannya. Contoh soal fisika besaran dan satuan beserta jawabannya 7943 views. Cara mengukur, menggunakan & menghitung. Gambar di bawah ini menunjukan pengukuran lebar balok menggunakan jangka sorong. Pembahasan soal jangka sorong dan mikrometer sekrup. Skala utama = 7 mm + 0,5 mm = 7,5 mm. 20 contoh soal pilihan ganda getaran dan gelombang beserta jawabannya. Hitunglah hasil pengukuran mikrometer sekrup diatas.

Contoh soal fisika besaran dan satuan beserta jawabannya 7943 views.

Contoh soal jangka sorong 1. Hitunglah hasil pengukuran mikrometer sekrup diatas. Contoh soal mikrometer sekrup beserta jawabannya fokus fisika. Contoh soal jangka sorong 1. Skala utama = 7 mm + 0,5 mm = 7,5 mm. Skala nonius = 19 x 0,01 mm = 0,19 mm. Gambar di bawah ini menunjukan pengukuran lebar balok menggunakan jangka sorong. Pada kesempatan kali ini gammafisblog.com akan belajar bersama anda tentang contoh soal dan latihan mikrometer sekrup beserta dengan . Hasil ukur = skala utama + skala nonius = 3,50 mm + 0,27 mm = 3,77 mm. Contoh soal jangka sorong dan mikrometer sekrup pembahasan soalfismat com from . Pembahasan soal jangka sorong dan mikrometer sekrup. Itulah informasi mengenai cara menghitung jangka sorong. Pengukuran menggunakan jangka sorong dan mikrometer skrup contoh.

Hasil ukur = skala utama + skala nonius = 3,50 mm + 0,27 mm = 3,77 mm. Skala nonius = 19 x 0,01 mm = 0,19 mm. Skala utama = 7 mm + 0,5 mm = 7,5 mm. Pembahasan soal jangka sorong dan mikrometer sekrup. Hitunglah hasil pengukuran mikrometer sekrup diatas.

Hasil ukur = skala utama + skala nonius = 3,50 mm + 0,27 mm = 3,77 mm. Contoh Soal Mikrometer Sekrup Dan Jawabannya Foto Modis
Contoh Soal Mikrometer Sekrup Dan Jawabannya Foto Modis from lh6.googleusercontent.com
Cara mengukur, menggunakan & menghitung. Contoh soal fisika besaran dan satuan beserta jawabannya 7943 views. Pengukuran menggunakan jangka sorong dan mikrometer skrup contoh. Gambar berikut menunjukkan hasil pembacaan skala pengukuran diameter bola kecil dengan . Gambar di bawah ini menunjukan pengukuran lebar balok menggunakan jangka sorong. Pembahasan soal jangka sorong dan mikrometer sekrup. Contoh soal jangka sorong 1. Skala nonius = 19 x 0,01 mm = 0,19 mm.

Perhatikan gambar mikrometer sekrup berikut ini.

Contoh soal fisika besaran dan satuan beserta jawabannya 7943 views. Gambar di bawah ini menunjukan pengukuran lebar balok menggunakan jangka sorong. Cara mengukur, menggunakan & menghitung. Hitunglah hasil pengukuran mikrometer sekrup diatas. Hasil ukur = skala utama + skala nonius = 3,50 mm + 0,27 mm = 3,77 mm. Contoh soal mikrometer sekrup beserta jawabannya fokus fisika. Pada kesempatan kali ini gammafisblog.com akan belajar bersama anda tentang contoh soal dan latihan mikrometer sekrup beserta dengan . Gambar berikut menunjukkan hasil pembacaan skala pengukuran diameter bola kecil dengan . Contoh soal jangka sorong 1. Pengukuran menggunakan jangka sorong dan mikrometer skrup contoh. 20 contoh soal pilihan ganda getaran dan gelombang beserta jawabannya. Skala utama = 7 mm + 0,5 mm = 7,5 mm. Pembahasan soal jangka sorong dan mikrometer sekrup.

Contoh Soal Mikrometer Sekrup Dan Jangka Sorong Beserta Jawabannya / Contoh Soal Dan Pembahasan Jangka Sorong Dan Mikrometer Sekrup Peranti Guru : Pada kesempatan kali ini gammafisblog.com akan belajar bersama anda tentang contoh soal dan latihan mikrometer sekrup beserta dengan .. 20 contoh soal pilihan ganda getaran dan gelombang beserta jawabannya. Pengukuran menggunakan jangka sorong dan mikrometer skrup contoh. Skala nonius = 19 x 0,01 mm = 0,19 mm. Contoh soal jangka sorong 1. Itulah informasi mengenai cara menghitung jangka sorong.

Posting Komentar untuk "Contoh Soal Mikrometer Sekrup Dan Jangka Sorong Beserta Jawabannya / Contoh Soal Dan Pembahasan Jangka Sorong Dan Mikrometer Sekrup Peranti Guru : Pada kesempatan kali ini gammafisblog.com akan belajar bersama anda tentang contoh soal dan latihan mikrometer sekrup beserta dengan ."